咨询/订购
15680926068
在线咨询/订购 在线咨询/订购
在线咨询

产品分类简介

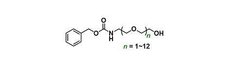
CbzNH-PEGn

MY ACCOUNT
邮箱:
密码:

客户近期使用本公司产品发表的高影响因子论文(IF>10)

质量检测报告

立即获得你的电子分析证书(COA):

Cat. #
Batch